彩虹多多



热门关键词: 高压开关动作特性测试仪 断路器特性测试仪 彩虹多多:变压器综合测试系统 承装承试设备选型 高压开关测试仪 变压器综合测试 串联谐振

联系彩虹多多

及时联系彩虹多多 为您解答产品相关疑问 欢迎拨打全国统一服务热线

销售电话: 027-8777 1781
                027-8777 1782
服务电话 133 9713 6633 
传真电话: 027-8777 1786
电子邮箱: whhdgk@126.com

电缆试验直流电桥法如何测试高阻性故障?

您的位置:彩虹多多 >> 服务支持 >> 技术文章

直流电桥法是至今仍广泛应用的一种测距方法。它是基于电缆沿线均匀,电缆长度和缆芯电阻或正比的特点,将电缆短路接地故障点两侧的环线电阻引入直流电桥,测量其比值。电缆试验直流电桥法如何测试高阻性故障?

直流电桥法高阻性故障的测量如下:

(1)低压电桥测量。用低压电桥测量高阻性故障必须首先将高电阻烧穿为低电阻。现场常采用高压直流烧穿法,其接线与泄漏电流相同。用直流烧穿法可避免无功电流,仅供给流经故障点的有功电流,从而大大减小试验设备的体积,适于现场应用。烧穿开始时,在几万伏电压下保持几毫安至几十毫安电流,使故障电阻逐渐下降。此后,随电流的增加应逐渐降低电压,使在几百伏电压下保持几安电流。在整个烧穿过程中电流应力求平稳,缓缓增大。由于用直流烧穿法较泄漏电流试验的电流大,限流电阻不便使用,可以将操作回路的过流保护调整到满足要求,注意试验设备容量要足够大,以免损坏。为避免给声测法定点带来困难,故障点对地电阻不宜降得太低,1kΩ左右即可。

(2)高压直流电桥。对稳定性的高阻性接地故障,当采用高压直流电桥测量时,仍然使用惠斯登电桥原理,其接线如图一所示,只是结构上采用看滑线电阻R,调节滑动点C,使电桥平衡。由于滑线电阻的总数值是固定的,可使其为常数,从而简化了计算,可由滑动点的位置直接得出到故障点的距离占电缆线路全长的比例。

惠斯登电桥原理 

    图一

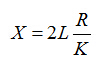
    当电桥在c处等分处达到平衡时,故障点的距离为

故障点的距离公式

 



式中:

R——滑线电阻的读数;

L——电缆线路全长;

K——滑线电阻等分数。

使用高压直流电桥要注意安全,对非试验相的缆芯必须接地,以防产生感应高电压。高压直流电桥只适用于测量稳定性接地故障,不适于电缆在高压直流下内部有放电的情况,因为这时电流忽大忽小,间隙性增大,甚至内部闪络击穿使电流剧增,不但测量难以进行,还会损坏检流计,所以,接入电流表A监视电流,使测量电流稳定在10~20mA。


  有关电缆试验设备信息咨询、技术资料等欢迎致电:027-87771780 点击了解更多详细方案
上一篇: 如何选择输电线路工频参数测量设备?
下一篇: 彩虹多多:高压开关动特性测试仪技术答疑
版权说明:本站所有文章、图片、视频等资料的版权均属于彩虹多多官网-追求健康,你我一起成长 chdd ,其他任何网站或单位未经允许禁止转载、用于商业盈利,违者必究。如需使用,请与彩虹多多 联系;允许转载的文章、图片、视频等资料请注明出处"来自:武汉彩虹多多"。

荣誉客户

荣誉资质