彩虹多多



热门关键词: 彩虹多多:高压开关动作特性测试仪 断路器特性测试仪 变压器综合测试系统 承装承试设备选型 高压开关测试仪 变压器综合测试 串联谐振

联系彩虹多多

及时联系彩虹多多 为您解答产品相关疑问 欢迎拨打全国统一服务热线

销售电话: 027-8777 1781
                027-8777 1782
服务电话 133 9713 6633 
传真电话: 027-8777 1786
电子邮箱: whhdgk@126.com

橡塑绝缘电力电缆绝缘试验作业指导书

您的位置:彩虹多多 >> 服务支持 >> 技术文章

1范围

本作业指导书适用于6 kV及以上橡塑绝缘电力电缆线路,其目的是检验电缆线路的绝缘性能是否满足有关标准的要求,规定了交接验收、预防性试验、检修过程中的试验项目的引用标准、仪器设备要求、作业程序、试验结果判断方法和试验注意事项等。制定本作业指导书的目的是规范操作、保证试验结果的准确性,为设备运行、监督、检修提供依据。

2规范性引用文件

下列文件中的条款通过本作业指导书的引用而成为本作业指导书的条款。凡是注日期的引用文件,其随后所有的修改单或修订版均不适用于本作业指导书,然而,鼓励根据本作业指导书达成协议的各方研究是否可使用这些文件的最新版本。凡是不注日期的引用文件,其最新版本适用于本作业指导书。

GB 11017额定电压110 kV铜芯、铝芯交联聚乙烯绝缘电力电缆

GB 12706额定电压35 kV及以下铜芯、铝芯塑料绝缘电力电缆

3试验项目

橡塑绝缘电力电缆的绝缘试验包括以下试验项目:

a) 绝缘电阻;

b) 交流耐压。

4安全措施

a) 保证人身和设备安全,要求必须在试验现场周围设围栏,被试电缆两端均应专人监护,且通信畅通,负责升压的人要随时注意周围的情况,一旦发现异常应立  刻断开电源停止试验,查明原因并排除后方可继续试验。

b) 在试验过程中,如果发现电压表指针摆动很大,电流表指示急剧增加,发出绝缘  烧焦气味或冒烟或发生响声等异常现象时,应立即降低电压,断开电源,被试品进行接地放电后再对其进行检查。

c) 进行绝缘电阻和交流耐压试验后,应对电缆充分放电。

d) 工作中如需使用梯子等登高工具时,应做好防止高空坠落的安全措施。

5工作程序

5.1 绝缘电阻试验

5.1.1  设备清单和要求

a) 温度计(误差±1)、湿度计;

b500V兆欧表1块、2500V5000V兆欧表1块。

5.1.2作业程序

5.1.2.1测试方法

测量电缆的绝缘电阻是检查其绝缘状态的最基本和最简便的方法。用兆欧表来测量设备的绝缘电阻,由于受到介质吸收电流的影响,兆欧表的指示值随时间逐步增大,对电缆而言,通常读取稳定值,作为工程上电缆的绝缘电阻值。一般对电缆的线芯对外屏蔽(即主绝缘)、外屏蔽对地(即外护套)及护层保护器都应进行绝缘电阻试验。

5.1.2.2试验步骤

a) 测量并记录环境温度和湿度。

b) 将所有被试部分充分放电。

c)将兆欧表地线端子用接地线和接地体连接好,用绝缘把手将兆欧表相线接触被测量部位的引出端头上,稳定后,记录绝缘电阻值。拆离兆欧表相线,关兆欧表。

d) 将被测回路对地放电。

e) 测量其他部分。

5.1.3.3注意事项

在试验中读取绝缘电阻数值后,应先断开接至被试品的连接线,然后再将兆欧表停止运转,注意:电缆一般电容量较大,兆欧表最初读数可能为零。

5.1.4试验结果判断依据

a) 对于110kV及以上电缆进行外护套绝缘电阻测试(必须在有外电极的条件下进行),每km绝缘电阻值不低于0.5MΩ(使用500V兆欧表);

b) 0.6/1kV以上等级电缆主绝缘的绝缘电阻测量采用2500V5000V兆欧表,绝缘电阻标准自行规定。

5.2交流耐压

5.2.1设备清单和要求

交流耐压试验可选用工频耐压试验设备、工频串联谐振耐压试验设备或变频串联谐振耐压试验设备,设备电压及容量由所试电缆的情况确定。

5.2.1.1工频耐压试验设备

试验变压器:额定电流In大于试品所需电流Ix(估算公式为Ix=UωC);高压侧额定电压Un应大于试验所需电压的1.2倍。

5.2.1.2工频串联谐振耐压设备

a) 串联电抗器:耐压应高于试验电压UxkV);电感量应近似等于I/ω2Cx)和额定电流应近似等于UωC

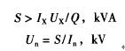
b)试验变压器:额定电流In大于试品所需电流Ix(估算公式为Ix= UωC);容量和高压侧额定电压Un可用下式估算:

容量公式


c)调压器:容量与试验变压器匹配。

5.2.1.3变频串联谐振耐压试验设备

a) 串联电抗器:耐压应高于试验电压Ux (kV);电感量和额定电流估算同工频串联谐振。

 b) 试验变压器:额定电流In。大于试品所需电流Ix(估算公式同并联谐振);容量和高压侧额定电压Un。可用下式估算:

容量和高压侧额定电压

 

C) 调压器:容量与试验变压器匹配。

5.2.1.4其他通用设备

    a) 限流电阻:通常取 0.21 Ω/ V。对于谐振回路可不使用限流电阻。

    b) 过电压保护球隙:按高压电气设备绝缘试验电压和试验方法规定选择球隙和球径。

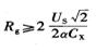
    c) 球隙保护电阻:通常取1Ω/V。也可近似计算值为:

值

 

 式中:

  a――允许波头的陡度,取a= 5 kV/μ

d) 交流电压测量设备:根据试验电压选择合适变比的分压器(或电压互感器)和合适量程的电压表(如果采用谐振方法可使用普通电压表),要求整体测量精度1.5级以上。

e)  2级毫安表1块,量程大于Ix

5.2.2作业程序

5.2.2.1测试方法

    a)根据相关规程或制造厂家的规定值确定试验电压,并根据试验电压和所试电缆的电容及长度选择合适电压等级的电源设备、测量仪表和保护电阻。如试验电压较高,则推荐采用串联谐振以降低试验电源的容量,试验前应根据相关数据计算电抗器、变压器的参数,以保证谐振回路能够匹配谐振以达到所需的试验电压和电流。

b)试验前先进行主绝缘电阻和交叉互联、外护套的试验,各项试验合格后再进行本项试验。工频耐压试验接线图


5.2.2.2试验步骤

a) 检查试验电源、调压器和试验变压器正常。按接线图准备试验,保证所有试验设备、仪表仪器接线正确、指示正确。

b) 一切设备仪表接好后,在空载条件下调整保护间隙,其放电电压为试验电压的110%~120%范围内(如采用串联谐振,需要另外的变压器调整保护间隙)。并调整试验电压在高于试验电压5%下维持2min后将电压降至零,拉开电源。

c)经过限流电阻R在高压侧短路,调整过流保护跳闸的可靠性。

d) 电压和电流保护调试检查无误,各种仪表接线正确后,即可将高压引线接到被试绕组上进行试验。

e) 升压必须从零开始,升压速度在40%试验电压以内可不受限制,其后应均匀升压,速度约每秒3%的试验电压。升至试验电压后维持规程所规定时间。

f) 将电压降至零,拉开电源,该试验结束。

5.2.2.3试验结果判断依据

如果试验中未发生击穿放电现象,则认为试验通过。

5.2.2.4注意事项

a) 试验前应明确耐压值按制造厂的规定还是按规程规定。

b) 电缆交流耐压时间较长,试验期间应注意试验电流的变化,试验前后应测量主绝缘的绝缘电阻。

 


      彩虹多多主要经营电气设备、电子产品、仪器仪表制造、安装;计算机软件开发;电子元器件、电线电缆、五金交电批发等,生产销售串联谐振实验装置、绝缘耐压测试设备、避雷器电缆测试设备、继保/回路测试设备、开关断路器检测设备、蓄电池/直流测试设备等。彩虹多多供应电力检测设备、高压试验设备、电力实验设备、电力承装(承修、承试)设备等产品,二十年累积行业经验将为更多用户提供可靠的帮助,武汉彩虹多多愿与您携手共赢,一起成长!
电力检测设备信息咨询请致电:027-87771780 或是
上一篇: 彩虹多多:为你解答什么是变频串联谐振试验的原理
下一篇: 电力变压器高压试验需要哪些条件?试验的方法是什么?
版权说明:本站所有文章、图片、视频等资料的版权均属于彩虹多多官网-追求健康,你我一起成长 chdd ,其他任何网站或单位未经允许禁止转载、用于商业盈利,违者必究。如需使用,请与彩虹多多 联系;允许转载的文章、图片、视频等资料请注明出处"来自:武汉彩虹多多"。

荣誉客户

荣誉资质