彩虹多多



热门关键词: 高压开关动作特性测试仪 断路器特性测试仪 彩虹多多:变压器综合测试系统 承装承试设备选型 高压开关测试仪 变压器综合测试 串联谐振

联系彩虹多多

及时联系彩虹多多 为您解答产品相关疑问 欢迎拨打全国统一服务热线

销售电话: 027-8777 1781
                027-8777 1782
服务电话 133 9713 6633 
传真电话: 027-8777 1786
电子邮箱: whhdgk@126.com

接地网接地电阻试验作业指导书

您的位置:彩虹多多 >> 服务支持 >> 技术文章

1范围

本作业指导书适用于接地网接地电阻测量,规定了接地网交接验收、预防性试验和检 修过程中的接地电阻测量试验的引用标准、仪器设备要求、试验人员要求和职责、作业程序、试验结果判断方法和试验注意事项等。制定本指导书的目的是规范接地网接地电阻试验,保证试验结果的准确性,为设备运行、监督、检修提供依据。

2规范性引用文件

下列文件中的条款通过本作业指导书的引用而成为本作业指导书的条款。凡是注日期的引用文件,其随后所有的修改单或修订版均不适用于本作业指导书,然而,鼓励根据本作业指导书达成协议的各方研究是否可使用这些文件的最新版本。凡是不注日期的引用文件,其最新版本适用于本作业指导书。

DL475接地装置工频特性参数的测量导则

DL/T621交流电气装置的接地

3工作程序

3.1人员要求

a) 人数:一般根据被测接地网面积大小来定,整个接地网最大对角线长度超过500m,至少需10人。

b) 资质:负责人必须熟悉地网测试技术;试验人员中至少有2人为电气技术工人。

3.2设备清单和要求

接地网接地电阻测量目前常用的方法有两种:一是变频法;一是工频电压电流法。每种测量方法的设备分可共用部分和不可共用部分,可共用部分单列清单及要求,不可共用部分在每种测量方法的清单及要求中分别说明。

3.2.1可共用的设备清单及要求

a)对讲机:2对:

b) 大锤:1把;

c) 常用工具:1套;

d) 绝缘黑胶布:若干卷(视接地引线的卷数而定)。

3.2.2采用变频法的设备清单及要求

a) 变频接地电阻测试仪一套,电源须充电的设备应在测试前一天充好电。

b) 接地电极:一端为尖头,长度不小于1m,直径不小于20mm的钢管或圆钢4根。    

C)接地引线:

1)电流极引线。铜芯绝缘外皮,截面不小于1.0mm2,,长度为4~5倍整个被测地网的最大对角线长度减去整个地网中心与地网边缘之间的距离,如放线有困难或土壤较均匀时,长度至少取2倍整个被测地网的最大对角线长度减去整个地

网中心与地网边缘之间的距离。

2)电压极引线,铜芯绝缘外皮,截面不小于1.0 mm2,长度为电流极引线长度的0.618倍减去整个地网中心与地网边缘之间的距离;组成电流极引线和电压极引线的各段线应在测试前分别测量过连通状况。

3.2.3采用工频电压电流法的设备清单及要求

一般情况下,电流极接地电阻均可达到100Ω以下,所以下列设备均是在满足这个条件下提出的。

a) 专用的工频电压电流法测试仪:1套,工频输出电流应能达到10A及以上。

b) 如没有专用测试仪,则需要设备:

1) 单相调压器:容量不小于15kVA1台;

2)隔离试验变:容量10kVA及以上,变比1kV/400V220V),1台;

3) 隔离电流互感器:1台,0.2级;

4)电压表:0~600V0.5级,1只;如电流极接地电阻很小,需要1只毫伏表;

5)电流表:05A0.5级,1只;

6) 两相刀闸:两只。

c) 接地电极:10根及以上空心(实心)铁(钢)管,一端为尖头,每根长度不小于lm,截面直径不小于20mm

d) 接地引线:

1) 电流极引线。铜芯绝缘外皮,截面不小于2.5 mm2,长度为4~5倍整个被测地网的最大对角线长度减去整个地网中心与地网边缘之间的距离,如放线有困难或土壤较均匀时长度至少取2倍整个被测地网的最大对角线长度减去整个地网中心与地网边缘之间的距离。

2)电压极引线:铜芯绝缘外皮,截面不小于1.0 mm2,长度为电流极引线长度的0.618倍减去整个地网中心与地网边缘之间的距离;组成电流极引线和电压极引线的各段线应在测试前分别测过连通状况。

1:如电流接地极的接地电阻不能低于100Ω时,各设备的参数要依据该电阻值和试验电流值而定;

2:现场应能提供220V试验电源。

3.3作业程序

3.3.1变频法

3.3.1.1测试方法

用变频法测量时,其原理接线图如图1所示。电压线与电流线相距为2m及以上,可避免互感的影响,试验电流宜为1A及以上。

变频法测量时,其原理接线图

3.3.1.2试验步骤

假设被测地网的最大对角线长度为D,整个地网中心与地网边缘之间的距离为d,单位为km

a)将电压极、电流极按照图1所示的方法布线,其中:

                                      dGC=4Dd

                                  dGP=4D x 0.618d

    b) 按下测试键。

    c) 直接读出电阻值。

    d) 记录数据后,关掉电源;改变电压极位置,使dGP = (4D x 0.618d) x 1.05(km)

    e) 重复上述步骤b)c),测1次。

    f) 记录数据后,关掉电源;改变电压极位置,使dGP=(4D x 0.618d) x0.95(km)

    g) 重复上述步骤b)c),再测1次。

    h) 记录数据后,关掉电源。

    i) 试验结束,清理现场。

3.3.1.3注意事项

    测试时,引线沿线应有专人照看,以免测试线丢失,造成测量终止。

3.3.2工频电压电流法

3.3.2.1测试方法

    采用三极法,其试验原理接线图如图2所示,按照图2布置好接线方式,电压极引线和电流极引线之间距离不小于2m,假设被测地网的最大对角线长度为D,整个地网中心与地网边缘之间的距离为d,那么,dGC(4Dd ) dGP(4D x 0.618d);利用调压器和隔离升压变组成的工频电源从被测地网测点加人一不小于10 A的电流,记录此时的电压和电流数,由此便可得到接地电阻值。

3.3.2.2试验步骤

设被测地网的最大对角线长度为D,整个地网中心与地网边缘之间的距离为d,单位为km

a)将电压极、电流极按照图2所示的方法布线,其中:

dGC4D-d

dGP4Dx0.618d

b) 首先,在加电源前,读电压表,记录UGD

c)加电源,将工频交流电源的输出电流升至10A

d) 准确读出电流表、电压表值。

e) 记录数据后,降低电源电压至零,关掉电源。

F )倒电源极性,重复上述步骤b)、c)、d)、e),再测1次。

g)改变电压极位置,使dGP=(4Dx0.618dx1.05

h)重复上述步骤b)、c)、d)、e),进行测量。

i)改变电压极位置,使dGP=(4Dx0.618dx0.95

J)重复上述步骤b)、c)、d)、e),进行测量。

k) 试验结束,清理现场。

电压电流表法测量工频接地电阻的原理接线图

3.3.2.3安全措施

a) 试验区域内,凡有碍于试验的其他工作务必停止。

b) 试验期间,试验区域内必须有安全监护人员。

c)电压极引线和电流极引线沿线每100m应设一人照看,尤其是有行人和车辆通过的路口,引线通过时必须架高,必要时装设注意安全红色标记,以确保行人和车辆安全。

3.4试验结果判断依据

对于非直接产生的结果,包括相关的计算公式和计算方法。

3.4.1变频法

用变频法测量时,通过改变电压极的位置,可测得3个电阻值,比较3个电阻值的变化情况是否与电压极引线离开测点距离的变化情况一致,如一致,便可确定dGP取(4Dx0.618-d)时所测得的电阻值为实测值;如不一致,须结合历史数据、实际土壤电阻率等情况进一步分析原因,以确定实测值。

发电厂、变电所电气装置保护接地的接地电阻要求如下。

a)一般情况下,接地装置的接地电阻应符合下式要求:

公式

式中:

R----考虑到季节变化的最大接地电阻,Ω

I-----计算用的流经接地装置的入地短路电流,A.

公式(1)计算用流经接地装置的入地短路电流,采用在接地装置内、外短路时,经接地装置流入地中的最大短路电流对称分量最大值,该电流应按5~10年发展后的系统最大运行方式确定,并应考虑系统中各接地中性点间的短路电流分配,以及避雷线中分走的接地短路电流。

b)当接地装置的接地电阻不符合式(1)要求时,可通过技术经济比较增大接地电阻,但不得大于5Ω,且应符合以下要求:

1) 为防止转移电位引起的危害,对可能将接地网的高电位引向厂、所外或将低电位引向厂、所内的设施,应采取隔离措施。例如:对外的通信设备加隔离变压器;向厂、所外供电的低压线路采用架空线,其电源中性点不在厂、所内接地,改在厂、所外适当的地方接地;通向厂、所外的管道采用绝缘段,铁路轨道分别在两处加绝缘鱼尾板等等。

2) 考虑短路电流非周期分量的影响,当接地网电位升高时,发电厂、变电所内的3~10kV阀式避雷器不应动作或动作后应承受被赋与的能量。

3) 应核算接触电位差和跨步电位差。

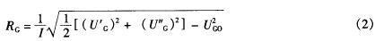
3.4.2工频电压电流法

用倒相法得到的工频接地阻值为:

工频接地阻值


式中:

I----通过接地装置的接地电流,测试电压倒相前后保持不变;

U'GU" G-----测试电压倒相前后的接地装置的对地电压;

U G0------不加测试电压接地装置的对地电压,即零序电流在接地装置上产生的电压降。

试验结果判断依据同3.4.1

3.5注意事项

3.5.1测试方法注意事项

a)消除接地装置中的零序电流的影响。对于工频电压电流法,在不停电的条件下,由于接地装置中存在电力系统的零序电流,它会影响工频接地电阻的实测值。既可以通过增大接地装置测试电流值的办法,也可以用倒相法来减小零序电流对工

频接地电阻实测值的影响。

b)消除高频干扰电压的影响。当测量用的电压线较长时,电压线上可能出现广播电磁场等交变电磁场产生的干扰电压。如果用有效值电压表测量电压,则电压表的指示值要受高频干扰。

c)消除输电线的避雷线的影响。在许多变电所中,输电线的避雷线是与变电所的接地装置相连,这会影响变电所接地电阻的实测值。因此,在测量前,应将避雷线与变电所接地装置的电连接断开。

d)尽量增大工频电压电流法中的测试电流。通过接地装置的测试电流大,则接地装置中的零序电流和干扰电压对测量结果的影响就小。为了减小工频接地电阻实测值的误差,通过接地装置的测试电流不宜小于10A。为了得到较大的测试电流,一般要求电流极的接地电阻不大于100Ω

e)避免运行中的输电线路的影响。尽可能使测量线远离运行中的输电线路或与其垂直,以减小干扰影响。

f) 避免河流、地下管道等导电体。测量电极的布置要避开河流、水渠、地下管道等。

g)不能在雨后立即进行测试。

h) 应记录测试时的环境温度。

i)应用高阻电压表测电压。

3.5.2判断方法注意事项

a)电压极分别在3个不同位置时测得的视在电阻变化情况应与电压极引线距离变化趋势保持一致。

b)正常情况下,测得的接地网阻值应与历史数据比较接近,且与根据地网面积和土壤电阻率的估算值接近。

4原始记录与正式报告

4.1对原始记录与正式报告的要求

a)原始记录的填写要字迹清晰、完整、准确,不得随意涂改,不得留有空白,并在原始记录上注明使用的仪器设备名称及编号。

b)当记录表格出现某些“表格”确无数据记录时,可用“/”表示此格无数据。

c)若确属笔误,出现记录错误时,允许用“单线划改”,并要求更改者在更改旁边签名。

d) 原始记录应由记录人员和审核人员二级审核签字;试验报告应由拟稿人员、审核人员、批准人员三级审核签字。

e)原始记录的记录人与审核人不得是同一人,正式报告的拟稿人与审核/批准人不得是同一人。

f)原始记录及试验报告应按规定存档。


      彩虹多多主要经营电气设备、电子产品、仪器仪表制造、安装;计算机软件开发;电子元器件、电线电缆、五金交电批发等,生产销售串联谐振实验装置、绝缘耐压测试设备、避雷器电缆测试设备、继保/回路测试设备、开关断路器检测设备、蓄电池/直流测试设备等。彩虹多多供应电力检测设备、高压试验设备、电力实验设备、电力承装(承修、承试)设备等产品,二十年累积行业经验将为更多用户提供可靠的帮助,武汉彩虹多多愿与您携手共赢,一起成长!
电力检测设备信息咨询请致电:027-87771780 或是
上一篇: 绝缘油介电强度测量试验作业指导书
下一篇: 彩虹多多:10kV户外柱上真空断路器试验技术参数及要求说明
版权说明:本站所有文章、图片、视频等资料的版权均属于彩虹多多官网-追求健康,你我一起成长 chdd ,其他任何网站或单位未经允许禁止转载、用于商业盈利,违者必究。如需使用,请与彩虹多多 联系;允许转载的文章、图片、视频等资料请注明出处"来自:武汉彩虹多多"。

荣誉客户

荣誉资质